Les études en psychologie sont biaisées par des participants peu attentifs- Dis la vérité - Les enfants ne se font pas berner- Les applications smartphone pour la dépression - La diversité en entreprise est-elle en lien avec de meilleures performances ?


Une étude avec de nombreux participants (n = 1 002) a répliqué avec succès un effet connu en psychologie cognitive, les illusions cognitives, grâce à une tâche avec des urnes et des perles de couleur (les participants voient des billes et doivent décider de quelle urne les billes proviennent, une tâche qui pose problème selon une récente méta-analyse).
Les chercheurs ont ensuite posé trois questions d’attention et se sont rendu compte que 82 individus (8%) n’ont pas correctement répondu à ces questions. En les éliminant, l’effet d’illusion cognitive a disparu.
Les chercheurs se sont alors demandés si ces résultats suggèrent que certaines relations apparemment bien établies (mais pas toutes) entre les biais cognitifs et les croyances de type illusoire pourraient être des artefacts de réponse inattentive.
https://doi.org/10.1037/abn0000844
Le problème ? En psychologie, il n’y a presque jamais de questions d’attention pour vérifier que les participants suivent bien les questionnaires.
Des chercheurs ont regardé trois articles avec des données ouvertes et ont prouvé que pour les trois, les effets étaient diminués quand on enlevait les résultats de participants inattentifs, ce qui remet quand même en question une grosse partie des effets de psychologie qui utilisent des données en ligne.
https://journals.sagepub.com/doi/10.1177/25152459241231581
Quand est-ce que les personnes considèrent-ils qu'une déclaration est fausse ou est un mensonge, et ces jugements entre de vraies déclarations ou de fausses déclarations diffèrent-ils selon les cultures ?
Dans cet article, les auteurs ont examiné dans quelle mesure le contenu implicite affecte les jugements de mensonge. 3 660 participants de dix pays (Afrique du Sud, Chili, Chine, Allemagne, Espagne, États-Unis, Israël, Japon, Mexique, Royaume-Uni) ont été confrontés à des implications trompeuses – c'est-à-dire des énoncés qui sont littéralement vrais, mais transmettent implicitement de fausses informations – et on leur a ensuite demandé si chaque orateur avait menti et si quelque chose de vrai ou de faux avait été dit.
Un exemple de scénario :
Jack et Amanda se fréquentent depuis un certain temps maintenant. Cependant, Jack sent qu’Amanda n’en a pas tout à fait fini avec son ex-petit ami, Paul. Un soir, Jack demande à Amanda si elle a rencontré Paul récemment. Amanda répond : « Paul est malade depuis deux semaines et l’est toujours. ». En fait, Paul est vraiment malade depuis deux semaines et est toujours malade. De plus, Amanda l’a juste rencontré ce matin dans un café.
Ici, Amanda dit la vérité, mais dit-elle toute la vérité ? Elle dit la vérité sur la maladie de Paul, mais cache une possible vérité qu’elle ne l’a pas rencontrée que ce matin.
Les résultats montrent que le contenu implicite joue un rôle important dans les jugements des personnes, conduisant certains énoncés à être jugés faux ou mensongers même lorsqu'ils sont explicitement vrais.
Ici, on observe que les lignes sont fortement similaires et donc que les participants attribuent un “taux de mensonge” similaire entre tous les pays, les différences n’étant marquées que selon les vignettes.
Ce qui est surprenant dans ces résultats, c’est à quel point il y a des similarités de réponses, comme si la culture n’avait pas d’impact dans la compréhension de si quelqu’un ment par omission ou pas.
Wiegmann, A., Reins, L. M., Mizumoto, M., Erut, A., Li, Q., & Orr, S. (2024, April 3). The role of implicit content for lie and truth judgments: A cross-cultural study. https://doi.org/10.31234/osf.io/gdc2z
L’un des gros problèmes avec la désinformation n’est pas le mensonge éhonté. C’est l’utilisation de vraies informations, mais de manière sélective pour parvenir à un but de désinformation (j’ai’ pas fait exprès de mettre cette news sous la précédente alors qu’elles parlent de la même chose, mais apparemment les grands esprits se rencontrent dans ma tête).
La question que se posent les chercheurs de la présente étude est – à partir de quel âge les enfants sont capables de sélectionner de vraies informations qui vont dans leur sens.
Ils ont placé 144 enfants en face d’une marionnette avec un écran et 4 figures en bois (2 carrés et 2 cercles, 2 rouges et 2 vert). Ils ont demandé à l’enfant de mettre un carré rouge sur l’écran ce qui active la marionnette. Ils ont ensuite demandé à l’enfant de mettre un cercle vert sur l’écran ce qui a de nouveau activé la marionnette. L’expérimentateur et l’enfant doivent conclure que le carré rouge et le cercle vert activent la marionnette.
Une fois cela fait, l’expérimentateur indique que deux autres marionnettes, le cochon et le canard, doivent expliquer à l’ours comment fonctionnent les figures grâce à une vidéo. L’un d’entre eux veut vraiment aider l’ours, mais l’autre veut lui faire une blague. Comme l’ours veut vraiment apprendre comment faire, l’enfant doit l’aider à choisir la bonne vidéo.
L’enfant regarde ensuite deux vidéos, une avec les bonnes figures, mais pas les mêmes couleurs, une avec les bonnes couleurs, mais pas les mêmes figures. L’enfant doit faire un choix entre les deux vidéos et expliquer les raisons de son choix.
Enfin, l’enfant devait 1) évaluer quel jouet préfèrerait l’ours selon les vidéos présentées et 2) quel jouet l’enfant préfèrerait. Ce sont ces deux questions qui permettent de vérifier que l’enfant a bien compris que le choix de l’ours devrait être en lien avec son choix à lui.
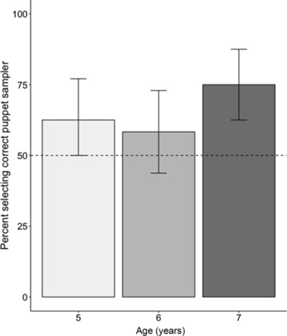
On observe que seuls les enfants à partir de 7 ans choisissent préférentiellement le bon jouet (celui en lien avec les croyances de l’ours).
Seuls les enfants de 7 ans dépassent la barre des 50% du hasard.
Dans la seconde expérimentation, les enfants devaient après chaque vidéo se poser la question : est ce que c’est le vert, le rouge, le cercle ou le carré qui permet d’allumer l’écran ? Ils devaient aussi répondre à la question sur la préférence de la vidéo pour l’ours avant de répondre à la question de quel jouet avec fait une blague et lequel avait vraiment voulu aider l’ours. Ces deux ajouts avaient pour objectif de faciliter la compréhension des règles pour les enfants plus petits. Et effectivement, ce changement a porté ces fruits, car dans ce cas, les enfants de 5 ans étaient également capable d’associer la préférence de l’ours à la sienne.
À ce moment, les enfants de tous âges dépassent les 50%.
Lorsqu'on leur a demandé lequel des deux informateurs avait des intentions trompeuses, seuls les enfants de 7 ans ont pu le faire de manière fiable. Les enfants de 5 et 6 ans ont également été en mesure d'identifier de manière fiable l'informateur trompeur, mais seulement s'ils ont d'abord été invités à réfléchir à ce qu'un apprenant déduirait sur la base des deux échantillons de preuves. Dans l'ensemble, les résultats de ces études suggèrent que les enfants dès l'âge de la maternelle possèdent les capacités cognitives et sociales fondamentales pour déduire que la meilleure explication de la raison pour laquelle les informateurs qui omettent sciemment, et donc délibérément, des informations importantes de leur communication est qu'ils le font avec une intention trompeuse. Cependant, la capacité des enfants à appliquer cette capacité continue de se développer de 5 à 7 ans, avec seulement une simple incitation pour aider à étayer leur raisonnement sociocognitif facilitant la réussite des enfants de 5 et 6 ans.
Source : Levush, K. C., & Butler, L. P. (2024). Children’s developing ability to recognize deceptive use of true information. In Journal of Experimental Child Psychology (Vol. 244, p. 105952). Elsevier BV. https://doi.org/10.1016/j.jecp.2024.105952
Un essai randomisé contrôlé a été conduit auprès d’étudiants de plusieurs universités d’Afrique du Sud pour tester l’efficacité des applications mobiles contre la dépression et l’anxiété.
Plus de 400 étudiants indiquant des signes d’anxiété ou de dépression ont été inclus dans l’étude, étudiants utilisant l’application SuperBetter, un groupe de visio en ligne pour apprendre la TCC relative à la dépression et l’anxiété, ou une application de monitorage de l’humeur, MoodFlow app qui était le groupe contrôle.
Les utilisateurs de l’application SuperBetter et les participants aux groupes en ligne avaient des symptômes d’anxiété ou de dépression plus faibles que le groupe contrôle à 3 mois ou à 6 mois après le début de l’intervention, sans différence entre les deux. Plus exactement, les chercheurs ont mesuré le taux de rémission, c'est-à-dire le nombre de participants qui indiquaient n’avoir plus de symptômes dépressifs. Ce taux était de 42% avec SuperBetter, 39% avec le groupe en visio, 20% avec MoodFlow à 6 mois, ce qui indique que SuperBetter est meilleur que MoodFlow et comparable à un groupe de TCC en ligne. À noter que sur les 400 étudiants au départ, il n’en restait au total que 154 (environ 50 par condition).
Ce résultat permet d’indiquer que les application gamifiés comme SuperBetter semblent être efficace pour réduire l’anxiété ou la dépression pour les personnes qui ne souhaitent pas faire de thérapie individuelle et qui n’ont pas de souci à utiliser quotidiennement leur smartphone (ce qui commence à faire beaucoup de si).
Lien vers Super Better : https://superbetter.com/
Lien vers MoodFlow : https://www.moodflow.co/
Source : Bantjes, J., Hunt, X., Cuijpers, P., Kazdin, A. E., Kennedy, C. J., Luedtke, A., Malenica, I., Petukhova, M., Sampson, N., Zainal, N. H., Davids, C., Dunn-Coetzee, M., Gerber, R., Stein, D. J., & Kessler, R. C. (2024). Comparative effectiveness of remote digital gamified and group CBT skills training interventions for anxiety and depression among college students: Results of a three-arm randomised controlled trial. In Behaviour Research and Therapy (Vol. 178, p. 104554). Elsevier BV. https://doi.org/10.1016/j.brat.2024.104554
La diversité de la main-d'œuvre augmente dans le monde entier, tandis que les entreprises s'efforcent d’améliorer l'équité et l'inclusivité de leurs équipes. Depuis, de nombreuses recherches ont étudié comment la diversité des équipes peut entrainer une meilleure performance. Malgré des arguments clairs en faveur de la diversité pour améliorer (certains types) de performances et des résultats prometteurs dans des études individuelles, les méta-analyses ont montré que les effets, s’ils existent, sont faibles sans réussir à distinguer les situations où la diversité devrait avoir un impact positif de celles où son impact est plus susceptible d'être négatif.
Dans une nouvelle méta-analyse (615 études, 2 638 tailles d'effet), des chercheurs ont constaté que les relations entre la diversité démographique, professionnelle et cognitive et la performance de l'équipe sont positives, mais non significatives. Même en tenant compte d'un large éventail de modérateurs, ils n’ont trouvé peu de cas où les effets étaient différents de 0– bien que les corrélations soient plus positives lorsque les tâches étaient plus complexes ou nécessitaient de la créativité et de l'innovation, et lorsque les équipes travaillaient dans des contextes moins collectivistes et moins éloignés de relations de pouvoir.
De plus, la diversité n’améliore pas non plus la performance quand les équipes sont composées de personnes qui se travaillent depuis longtemps ou quand il y a une forte dépendance entre les collaborateurs.
Les résultats de cette méta-analyse indiquent donc qu’aucun lien simple n'existe entre diversité et performance, peu importe le domaine. Bien qu'il puisse être intéressant de noter que les preuves suggèrent que la diversité peut être plus susceptible de fournir des avantages (minimes) plutôt que de nuire à la moyenne, le tableau des résultats est complexe.
Wallrich, L., Opara, V., Wesołowska, M. et al. The Relationship Between Team Diversity and Team Performance: Reconciling Promise and Reality Through a Comprehensive Meta-Analysis Registered Report. J Bus Psychol 39, 1303–1354 (2024). https://doi.org/10.1007/s10869-024-09977-0
Image de l’exposition “ les ruines de Paris” a la Galerie Polka. Plus d’images ici : https://www.polkagalerie.com/fr/exposition-les-ruines-de-paris-de-yves-marchand-romain-meffre.htm
Aujourd’hui, on discute d’un article se proposant de redéfinir (encore) les troubles psychologiques.
Une nouvelle étude propose de réorganiser les troubles du DSM en fonction des covariances entre les symptômes. Le modèle résultant a eu une convergence notable avec les niveaux supérieurs du cadre de la taxonomie hiérarchique de la psychopathologie (HiTOP) et élargit considérablement la couverture actuelle de HiTOP des symptômes de troubles dissociatifs, d'élimination, de sommeil-éveil, liés aux traumatismes, neurodéveloppementaux et neurocognitifs.
Qu’est ce que HiTOP. HiTOP est le Hierarchical taxonomy of psychopathology. Contrairement au DSM qui se base sur un consensus entre chercheurs pour définir les troubles mentaux, HiTOP se base sur les relations entre les données existantes.
...