Une nouvelle menace sur la menace du stéréotype - La Vitesse d’une pièce - Lire de la fiction, bon pour la santé ? - Retrouver du pouvoir sur ses données - on sous-estime largement la richesse des plus riches - La génétique de la musique - L'inquiétante augmentation des essais randomisés non comparatifs


Après plusieurs études ayant remis en question l’existence de la menace du stéréotype sur les stéréotypes féminins, un nouvel article avec des résultats de 8 études (1502 sujets) indique … pas d’effet non plus.
Les chercheurs ont constaté que les femmes menacées (à qui on dit qu’elles sont nulles en maths, car elles sont des femmes) obtiennent des résultats similaires à celles qui n’ont pas été menacées (bien que leur résultat reste inférieur à ceux des hommes, mais dépendant du pays testé). Ce résultat continue d'enterrer l’effet de la menace du stéréotype en mathématique.
Préenregistrement : oui
Données accessibles : oui
> Notez que sur le sujet, je vous conseille grandement le billet de Blog de Inzlicht qui détaille comment le champs de recherche sur la menace du stéréotype s’est largement construit sur des pratiques problématiques et frauduleuses : https://www.speakandregret.michaelinzlicht.com/p/revisiting-stereotype-threat
Stoevenbelt, A. H., Flore, P. C., Wicherts, J. M., Bergers, R., Calin-Jageman, R., Gomez, L. A., … Weiss, L. S. (2024, September 17). Registered Replication Report: Johns, Schmader, & Martens (2005). https://doi.org/10.31234/osf.io/qctkp
Jetons 100 pièces en l’air. Et notons si la première pièce est pile ou face, la deuxième, la troisième etc.
Pierre va vérifier les pièces dans l’ordre (la première, puis la deuxième, puis la troisième…). Alice va vérifier les pièces paires en premier (la deuxième, la quatrième, la sixième…). Qui des deux a le plus de chance de tomber sur deux faces en premier ? En supposant qu'ils vont à la même vitesse.
Moi j’aurais dit que Pierre et Alice ont autant de chances mais c’est faux.
C’est Alice qui a le plus de chances. Pourquoi ?
Alors je suis pas sûr d’avoir compris mais à partir de la deuxième pièce, Pierre va vérifier les mêmes pièces que Alice donc si la pièce est pile, Alice l’aura déjà su. Elle a donc 3 chances sur 4 de trouver deux faces en premier et Pierre n’en a que 1 chance sur 4.
Si vous voulez en savoir plus et que vous comprenez mieux que moi, le lien est ici : https://x.com/littmath/status/1834273354628424080
Selon 4 études sur 5176 participants, lire de la fiction, parce qu’elle permet de se placer dans des situations de différence (des esprits différents, des contextes différents), amène à avoir une croyance que le monde social est complexe, et ce, même chez les petits enfants. On observe également que les lecteurs de fiction croient moins que les inégalités contemporaines sont légitimes. En revanche, la lecture précoce de fictions narratives présentant des intrigues et des personnages plus standardisés, comme les romans d'amour, prédit une vision du monde moins complexe.
Préenregistrement : Oui
Données libres : Il est dit que oui mais le dossier ne contient pas de données https://osf.io/68g5e/files/osfstorage
> Je refuse de croire une étude m’expliquant que twilight n’est pas une excellente série de livre.
Buttrick, N., Westgate, E. C., & Oishi, S. (2022). Reading Literary Fiction Is Associated With a More Complex Worldview. In Personality and Social Psychology Bulletin (Vol. 49, Issue 9, pp. 1408–1420). SAGE Publications. https://doi.org/10.1177/01461672221106059
En 2020, Ben Goldacre et Brian MacKenna se demandent pourquoi, au Royaume-Uni, il est si difficile d’accéder aux données des patients pour faire de la recherche clinique. Selon eux, il n’y a pas tant de barrières techniques, les données sont déjà disponibles. Les barrières sont humaines et culturelles avec une volonté de ne pas partager ces données à cause des risques de les partager.
https://www.bmj.com/content/370/bmj.m2607.full?ijkey=nIHRXr5GpawscdH&keytype=ref
Suite à cet article, les auteurs ont travaillé avec énormément de collaborateurs pour libérer ces données : un exemple ici :
https://wellcomeopenresearch.org/articles/6-360/v1
In fine, de nombreux jeux de données vont être rendus disponibles à travers la plateforme OpenSafely.
https://www.bennett.ox.ac.uk/blog/2024/09/exciting-new-developments-with-hospital-medicines-data/
Et en France ?
C’est compliqué. L’AP-HP dispose d’un site pour demander les accès aux patients depuis 2020. Mais cela ne concerne pas tous les hôpitaux, seulement ceux membres du réseau AP-HP. De plus, l’accès reste difficile, notamment quand les recherches ne concernent pas directement la médecine. Et pourtant, il est illégal de ne pas partager les données médicales et les chercheurs s’exposent à une forte amende (mais la législation n’est pas appliquée donc tout va bien pour les chercheurs qui ne partagent pas leurs données).
https://eds.aphp.fr/demande-acces-donnees
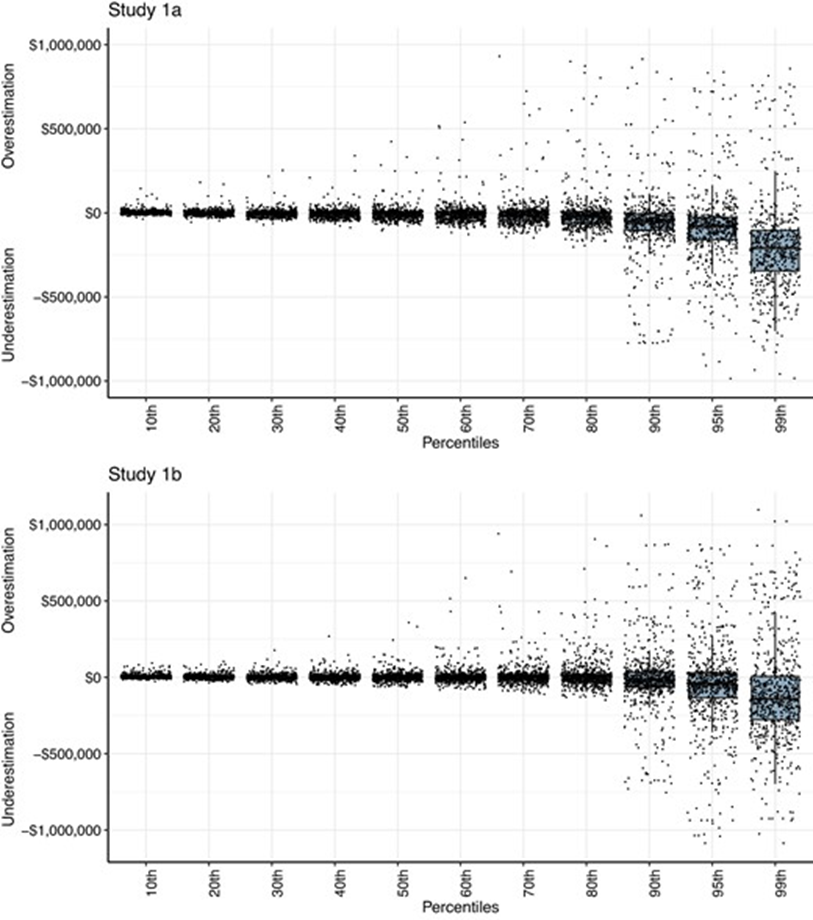
Lorsque l’on demande à 2 744 personnes de dire à quel point les personnes sont riches ou non, elles sont précises sur l’estimation des finances des pauvres, des moyens et des riches mais elles sous-estiment drastiquement la richesse des 1% les plus riches.
(la variabilité est largement supérieure à droite que à gauche).
C’est le problème avec les 1% les plus riches, ils sont très largement plus riches que les 2% les plus riches car il y a une inégalité économique extrêmement forte et nous avons du mal à nous le représenter. Selon les auteurs, cette difficulté de se représenter la disparité de richesse pourrait provenir d’un biais cognitif, mais aussi d’un manque de connaissances liées aux médias et au fait que les 1% les plus riches sont devenus beaucoup plus riches très récemment et que notre vision est biaisée par le passé.
Préenregistrement : oui
Données libre : oui
> Je défie quiquonque qui clique sur ce lien : https://eattherichtextformat.github.io/1-pixel-wealth/ de me dire qu’il est tout a fait normal d’être aussi riche que les plus riches de notre planète.
Szaszi, B., Habibnia, H., Tan, J., Hauser, O. P., & Jachimowicz, J. M. (2024). Selective insensitivity to income held by the richest. PNAS Nexus, 3(9). https://doi.org/10.1093/pnasnexus/pgae333
Une étude s’est intéressée à l’expertise musicale de 1302 jumeaux qui font de la musique. L’objectif est de comprendre à quel point la génétique joue dans l’expertise musicale. La variation de l'expertise musicale a diminué avec le nombre d'heures de pratique en raison de la diminution de la variance environnementale partagée et de la variance résiduelle. À l’inverse, la composante génétique n'a pas été affectée par la pratique.
De ce fait, plus on pratique, plus la génétique joue un rôle dans l’expertise de la musique. Ce résultat va à l’encontre de la théorie de la pratique délibérée qui dit que plus on travaille, plus la génétique va avoir un rôle minime dans l’expertise. Ici, la part de la génétique augmente.
Préenregistrement : Non
Données libres : les données proviennent du registre suédois.
>Attention, étude MDPI donc avec un processus de peer-reviewing “allégé”.
Mosing, M. A., Verweij, K. J. H., Hambrick, D. Z., Pedersen, N. L., & Ullén, F. (2024). Testing the Deliberate Practice Theory: Does Practice Reduce the Heritability of Musical Expertise? Journal of Intelligence, 12(9), 87. https://doi.org/10.3390/jintelligence12090087
La philosophie morale selon Kant
L'inquiétante augmentation des essais randomisés non comparatifs
Vous connaissez très probablement le terme "essai randomisé contrôlé". C'est un type d'expérimentation qui, en aléatoirisant et contrôlant les facteurs pouvant expliquer un processus, permet de s'assurer qu'une variable cause directement une autre, par exemple qu'un médicament soigne ou qu'une intervention en psychologie améliore le sommeil ou les notes scolaires ou peu importe quoi d'autre.
...